Daftar Nama Mahasiswa Penerima KIP Kuliah FH UNMUL Tahun 2021

Kategori: Keuangan

 

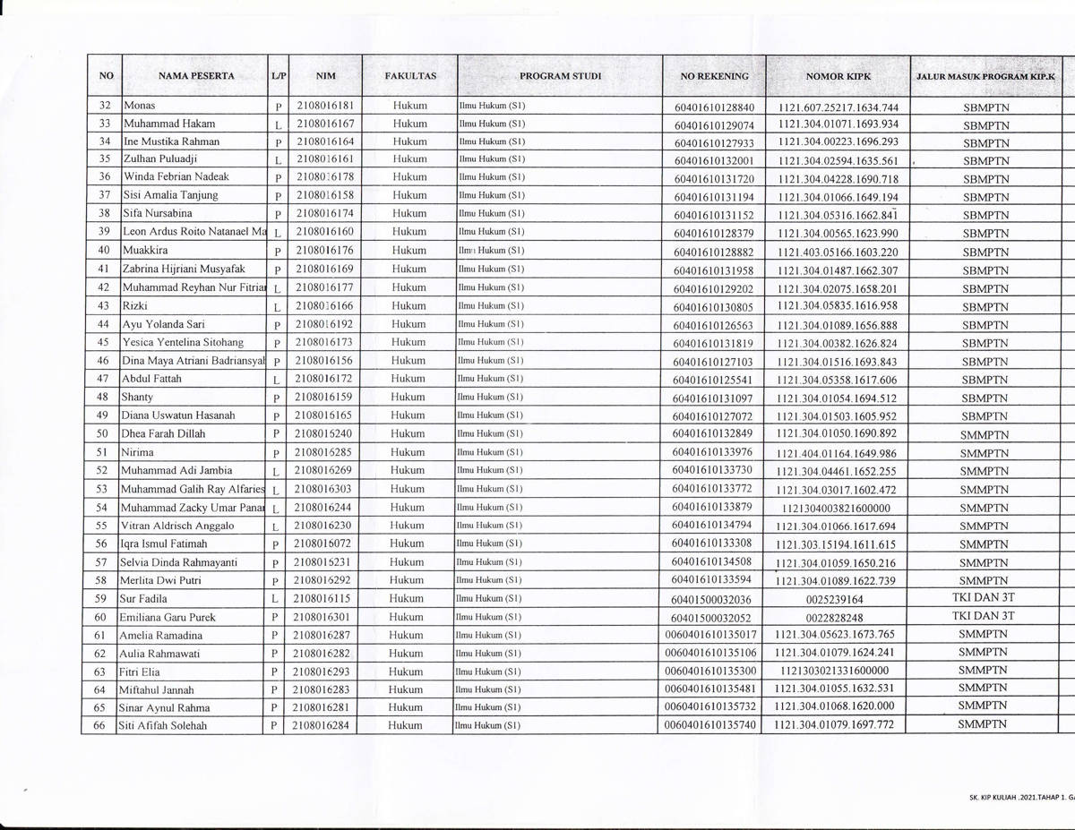
Berdasarkan surat keputusan Rektor Universitas Mulawarman dan data hasil verifikasi serta penetapan pada sistem aplikasi kipk.unmul.ac.id dan sistem kipk.kemendikbud, bersama ini kami sampaikan daftar nama penerima program KIP kuliah Tahun 2021 dari Fakultas Hukum Universitas Mulawarman.

Daftar Nama Terlampir.

Foto 1: Surat Penyampaian Daftar Nama Mahasiswa Penerima KIP Kuliah Universitas Mulawarman Semester Ganjil 2021/2022 Tahun 2021

Foto 2: Lampiran Daftar Nama Mahasiswa Penerima KIP Kuliah dari Fakultas Hukum Universitas Mulawarman - Page 1

Foto 3: Lampiran Daftar Nama Mahasiswa Penerima KIP Kuliah dari Fakultas Hukum Universitas Mulawarman - Page 2

Foto 4: Lampiran Daftar Nama Mahasiswa Penerima KIP Kuliah dari Fakultas Hukum Universitas Mulawarman - Page 3

Prev Next